平均中心
平均中心功能可用于识别一组要素质心的密度中心,即地理平均中心。其结果为一个新的点,而不是源数据中的对象。
分析原理
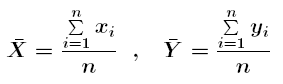
平均中心的计算方法很简单,直接计算中心点的x坐标和y坐标即可,就是所有点的x坐标和y坐标的平均值,公式如下:

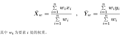
若设置了平均中心的加权字段,则中心点的位置需要考虑权重值,计算公式如下:

应用案例
- 分析白天与夜间的盗窃事件点的中心点,可对比评估两个时间段案发中心是否有变化,这有助于公安部门更好地分配资源。
- 野生生物学家可以计算某个公园内的麋鹿分布的平均中心,以了解夏季和冬季麋鹿会在何处聚集,从而为公园游客提供更好的信息。
功能入口
- 空间统计分析 选项卡 -> 度量地理分析 -> 平均中心。
- 工具箱->空间统计分析->度量地理分析->平均中心。
主要参数
- 源数据:设置待分析的矢量数据集,支持点、线、面三种类型的数据集。若为线或面对象,则取对象的质心进行计算,点的权重都为1,线的权重为线长度,面的权重为面积。
- 分组字段:将分析要素分类别的字段,分类后每一组的对象分别会有一个中心要素,分组字段可以是整型、日期型或字符串类型。若分组字段中字段值为空,则会将该要素从分析中排除。
- 权重字段:计算每一个要素到其他要素距离时进行加权,设置权重字段后的距离为:D = W1 x d,其中W1为权重值,d为两要素间的距离。
- 保留统计字段:在字段列表框中设置结果数据的保留字段及字段值的统计类型。
- 结果设置:设置结果数据所要保存在的数据源,及数据集名称。
设置好以上参数后,单击对话框中的“确定”按钮,即可执行平均中心分析。
如下图所示:黄色点为某野生动物园内大象的活动位置,可通过计算该区域位置分布的平均中心,来确定大象会在何处聚集,从而为游客提供更好的位置信息。

相关主题