基本统计
使用说明
根据输入的栅格数据计算每个像元的基本统计信息进行统计,同时还可以通过直方图直观地查看统计结果以及灰度信息。统计的内容包括:最大值、最小值、平均值、标准差、方差。
功能入口
- 空间分析选项卡->栅格分析组->栅格统计->基本统计。
- 工具箱->栅格分析->栅格统计->基本统计。
参数说明
- 源数据:选择要进行统计的栅格数据,包括数据所在的数据源和数据集。
- 统计结果:执行统计后,在统计结果区域,显示基本统计的内容。包括最大值、最小值、平均值和标准差等。
- 最大值:查找栅格像元值中的最大值。
- 最小值:查找栅格像元值中的最小值。
- 平均值:统计栅格数据中所有像元值的平均值。
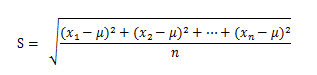
- 标准差:统计栅格数据中所有像元值的标准差。标准差是各个统计数据偏离平均数的距离的平均数,能够反映数据的离散程度。标准差是方差的算术平方根。如下面的公式所示,x1,x2,x3,......xn 为一组样本数据,µ 为其平均值,则标准差公式计算方法如下:
- 方差:统计栅格数据中所有像元值的方差。方差是各个统计数据源与其平均数的差的平方和。

- 直方图:查看当前栅格数据的直方图。关于直方图的介绍内容,请参见栅格直方图。