The Mean Center feature can be used to identify the density center of a set of feature centroids, the geographic Mean Center. The result is a new point, not an object in the source data.
Principles of analysis
The Calculator Method of Mean Center is very simple. It can directly calculate the X coordinate and y coordinate of the center point, which is the average value of the X coordinate and y coordinate of all points. The formula is as follows:

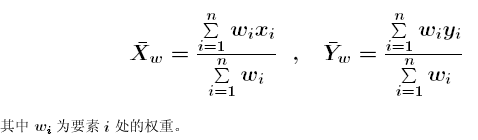
If the weighting field of Mean Center is set, the position of the center point needs to consider the weight value, and the calculation formula is as follows:

Application case
- By analyzing the center of the theft incident during the day and night, we can compare and evaluate whether there is any change in the center of the theft incident during the two periods, which is helpful for the public security department to better allocate resources.
- Wildlife biologists can calculate the Mean Center of elk distribution in a park to understand where elk congregate in summer and winter, providing better information for park visitors.
Function entrance
- Spatial Statistical Analysis tab-> Measuring Geographic Distributions-> Mean Center. (iDesktopX)
- Toolbox-> Spatial Statistical Analysis-> Measuring Geographic Distributions-> Mean Center. (iDesktopX)
Main parameters
- Source Data: Set the Vector Dataset to be analyzed, which supports three types of Dataset: point, line and surface. If it is a line or a face, the centroid of the object is taken for calculation, the weight of the point is 1, the weight of the line is the length of the line, and the weight of the face is the area.
- Group Field: a field for classifying analysis elements. After classification, each group of objects will have a Central Element. Group Field can be of integer, date or string type. If the field value in the Group Field is blank, the element is excluded from the analysis.
- Weight Field: The distance between each element and other elements is weighted. The distance after setting Weight Field is D = W1 X d, where W1 is the weight value and d is the distance between two elements.
- Mean Center: Set Reserved Fields of Result Data and Statistics Type of field value in the field list box.
- Result Settings: Set the Datasource and Dataset Name where the Result Data will be saved.
After setting the above parameters, click the "OK" button in the dialog box to execute the Mean Center analysis.
As shown in the figure below, the yellow dot is the location of elephants in a wildlife park. The Mean Center of the location distribution in this area can be calculated to determine where the elephants will gather, so as to provide better Position Info for visitors.

Related topics